Identification of Novel Endogenous Controls for qPCR Normalization in SK-BR-3 Breast Cancer Cell Line
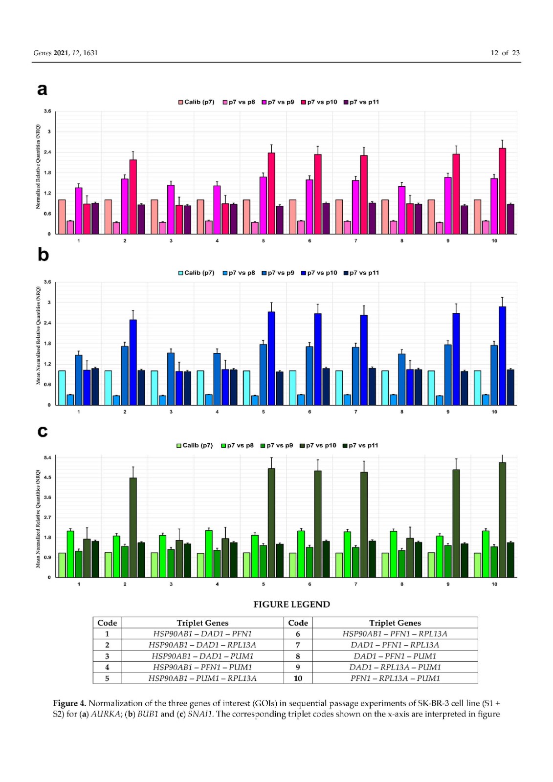
Normalization of gene expression using internal controls or reference genes (RGs) has been the method of choice for standardizing the technical variations in reverse transcription quantitative polymerase chain reactions (RT-qPCR). Conventionally, ACTB and GAPDH have been used as reference genes despite evidence from literature discouraging their use. Hence, in the presentstudy we identified and investigated novel reference genes in SK-BR-3, an HER2-enriched breastcancer cell line. Transcriptomic data of 82 HER2-E breast cancer samples from TCGA database were analyzed to identify twelve novel genes with stable expression. Additionally, thirteen RGs from the literature were analyzed. The expression variations of the candidate genes were studied over five successive passages (p) in two parallel cultures S1 and S2 and in acute and chronic hypoxia using various algorithms. Finally, the most stable RGs were selected and validated for normalization of the expression of three genes of interest (GOIs) in normoxia and hypoxia. Our results indicate that HSP90AB1, DAD1, PFN1 and PUM1 can be used in any combination of three (triplets) for optimiz。ing intra- and inter-assay gene expression differences in the SK-BR-3 cell line. Additionally, we discourage the use of conventional RGs (ACTB, GAPDH, RPL13A, RNA18S and RNA28S) as internal controls for RT-qPCR in SK-BR-3 cell line.

T75细胞培养瓶
使用内部对照或参考基因 (RG) 对基因表达进行标准化已成为标准化逆转录定量聚合酶链反应 (RT-qPCR) 技术变化的首选方法。传统上,ACTB和GAPDH尽管文献中的证据不鼓励使用它们,但已被用作参考基因。因此,在本研究中,我们在富含 HER2 的乳腺癌细胞系 SK-BR-3 中鉴定并研究了新的参考基因。对来自 TCGA 数据库的 82 个 HER2-E 乳腺癌样本的转录组数据进行了分析,以确定十二个具有稳定表达的新基因。此外,还分析了文献中的 13 个 RG。在两个平行培养物 S1 和 S2 中以及在急性和慢性缺氧条件下,使用各种算法研究了候选基因的表达变化超过 5 次连续传代 (p)。最后,选择最稳定的 RGs 并验证其在常氧和缺氧条件下三个感兴趣基因 (GOI) 的表达正?;?。我们的结果表明HSP90AB1、DAD1、PFN1和PUM1可用于三个(三联体)的任意组合,以优化 SK-BR-3 细胞系中检测内和检测间的基因表达差异。此外,我们不鼓励使用传统的 RG(ACTB、GAPDH、RPL13A、RNA18S和RNA28S)作为 SK-BR-3 细胞系中 RT-qPCR 的内部对照。
Reverse Transcription Quantitative Polymerase Chain Reaction (RT-qPCR) represents a modified variant of the popular conventional PCR with diverse applications, ranging from functional genomics to molecular medicine, virology, microbiology, and biotechnology. Quantitative PCR-based assays can target both DNA (genome) and RNA (transcriptome), thereby making it an extremely powerful and important technique in molecular diagnostics . While functional genomics deals with understanding the functions and interactions of genes and proteins at a genome-wide level including the role of ligands, receptors, and signaling networks that converge on transcriptional regulation, transcriptomic analysis, deals with ascertaining the functional significance to expression signature changes between tissues, disease states, or treatment . Large-scale analysis of expression patterns is performed by RNA-Seq or high-throughput microarray analysis, however, the findings for individual genes usually are validated by RT-qPCR due to its high sensitivity, specificity, reproducibility, and broad dynamic range.

装有培养基5层细胞工厂
逆转录定量聚合酶链反应(RT-qPCR)代表是流行的传统PCR的改良变种,应用范围广泛,ing从功能基因组学到分子医学、病毒学、微生物学、生物技术nology?;诙?/span>pcr的检测可以针对DNA(基因组)和RNA (transcriptome),因此使其成为分子ular诊断中一个非常强大和重要的技术。而功能基因组学研究的是功能以及基因和蛋白质在全基因组水平上的相互作用,包括lig And、受体和汇聚在转录调控上的信号网络的作用,转录组学分析,确定表达的功能意义组织、疾病状态或治疗之间的特征变化。大规模的分析表达模式是通过RNA-Seq或高通量微阵列分析进行的,然而,由于单个基因的发现通常是通过RT-qPCR来验证的灵敏度、特异性、重现性、动态范围广.
来源:MDPI https://www.mdpi.com/2073-4425/12/10/1631























上一篇: 细胞工厂在慢病毒载体大规模生产中的应用
下一篇: 4步教你掌握血清移液管的使用